I am a Postdoctoral Fellow at HKU-Jockey Club Enterprise Sustainability Global Research Institute, HKU Business School.
My CV/resumé can be found here.
Ph.D in Economics, 2024
University of California, Riverside
M.A & B.A in Economics, 2017
University of Southern California

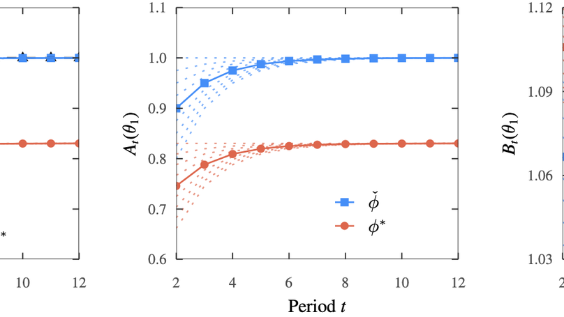
The Medicare Shared Savings Program (MSSP) aims to incentivize accountable care organizations (ACOs) to improve healthcare efficiency and reduce costs. However, current MSSP contract designs often overlook the forward-looking and risk-averse nature of ACOs, leading to suboptimal participation and investment. We develop a dynamic principal-agent framework to model the interactions between a risk-averse ACO and the MSSP. The optimal contract incorporates dynamic benchmarks and risk-sharing rates, allows ACOs strategically allocate investments toward cost reduction and could achieve a second-best outcome. Using structural estimation methods, we calibrate the model to recover key parameters governing optimal contract design and ACO behavior. Our findings demonstrate that the current MSSP structure dampens ACO participation and investment efforts, as it fails to mitigate the ratchet effect and the risk exposure faced by the ACOs. Counterfactual analyses reveal that the proposed contract significantly enhances ACO participation rates and cost-reduction efforts, underscoring the importance of aligning contract design with the forward-looking and risk-averse nature of ACOs. These results offer actionable insights for policymakers seeking to refine payment models and improve long-term healthcare outcomes under the MSSP.

This study investigates the compliance of local Chinese officials with the zero-Covid policy throughout the COVID-19 pandemic. By examining biographical data from political elites and using a prefecture-day data set on risk levels – an indicator reflecting the status of zero-Covid policy - we discover a significant impact of prefecture leaders' promotion incentives on their response to COVID-19 outbreaks. Our empirical analysis reveals that leaders with stronger promotion incentives tend to exhibit increased reactions to emerging cases. Evidence shows that such a phenomenon is driven by the different choices of the prefecture leaders facing relatively larger-scale COVID-19 outbreaks. Furthermore, local governors whose jurisdictions are more economically developed tend to enforce more stringent mobility restrictions. However, for prefecture leaders who oversee more developed regions and possess strong promotion incentives, the combined effects of these two factors tend to balance each other out in terms of pandemic response. These results suggest a natural tension between demands for crisis management during the pandemic and routine performance in economic development within the political framework of China.

We study the effect of China’s anti-contagious policy on labor market outcomes in 2020. By exploiting variation in the duration of the zero-Covid policy in China, which is triggered by the outbreak of new cases of COVID-19 in a 14-day observation window, we find that a 10% increase (3.7 days in average) in the duration of the zero-Covid policy caused the probability of unemployment to increase by around 0.1. Unlike most large economies that suffered a serious health shock from the COVID-19 pandemic, China effectively contained the scale and the spread of the initial outbreak in 2020. This provides a special empirical setting to examine the policy effect of anti-contagious policies, and we show that the disruption on the labor market majorly comes from the zero-Covid containment measures, while health shocks are trivial on the labor market outcomes. Moreover, the zero-Covid policy decreases the labor income and hours worked for employed individuals, and the policy effect is heterogeneous across demographic groups. We also examined the policy effect during different phases of the pandemic, and the results imply that the stringent clearance during the first stage of the pandemic (ended by Feb 17, 2020) caused the negative impacts on the labor outcomes, while the subsequent dynamic clearance strategy did not generate significant disruption on the labor market outcomes in 2020.

The outbreaks of coronavirus disease 2019 (COVID-19) and subsequent lockdowns and school closures have caused varying degrees of academic disruptions for children. This paper exploits variation in the duration that cities were classified as medium- or high-risk areas to identify the effects of China’s zero-COVID policy on the academic outcomes of children aged 6 to 15. Employing a difference-in-differences methodology and focusing on within-student changes in academic performance between pre- and early stages of the pandemic, we uncover robust evidence that the stringency of the zero-COVID policy is associated with significantly better mathematics performance for boys, while having no effects on girls. Mechanism analyses show that parental discipline is crucial for children’s academic performance during COVID-19. Boys benefit more from parental discipline than girls, especially those with weaker noncognitive skills. In particular, a conscientious mother, coupled with an amiable father, seems to bring the best outcomes for the child.

This paper presents an investigation of the economic consequences of the zero-COVID policy implemented by the Chinese government as a pilot experiment in using big data for country management from 2020 to 2022. Our study includes an original county-daily panel data set on the COVID-19 Risk Level issued by the State Council of the People’s Republic of China (PRC). To measure economic activities, we used satellite data on night lights and PM2.5, and geographical data on population mobility. Our findings indicate that the zero-COVID policy did not result in significant economic loss in 2021. However, in 2022, when the Omicron variant emerged, a stricter zero-COVID policy led to a 30% decline in mobility, a 1.17% decrease in PM2.5 and a 7.7% reduction in night lights. Based on our calculations, China experienced a 3.9% loss in GDP as a consequence of the implementation of the zero-COVID policy in 2022.
Database containing COVID risk level information for communities within the 2853 counties on a daily basis from April 02, 2021 to December 15, 2022, collected from the State Council’s website. This is the first database to document China’s daily county-level implementation of the zero-COVID policy during 2021 and 2022.
This index measures the transparency and governance practices of non-profit organizations (NGOs) in Hong Kong. The primary goal is to create a public ranking system that incentivizes NGOs to disclose basic information, thereby building public trust and improving sector-wide accountability. By creating a transparent database and index, we aim to help funders make informed decisions, encourage government-funded organizations to improve disclosure, and ultimately professionalize the philanthropic sector in Hong Kong.